안녕하세요. 이변입니다.
보이스피싱 사건은 비단 어제 오늘 문제가 아니라고 할 수 있습니다. 사건을 잘 모르는 분들께서 얼핏 보셨을 때는 본인도 모르는 사이에 어떻게 사건에 가담될 수 있냐며 처음부터 알고 그런 것일 거라고 쉽게 말씀하시는 경우도 있으나, 최근에는 이러한 보이스피싱 범죄가 조직적, 체계적으로 이뤄지고 있기에 나도 모르는 사이 이러한 범죄에 휘말리게 되는 경우가 적지 않습니다.
형사변호사인 제가 보더라도 꼼짝없이 속을 수밖에 없는 안타까운 상황이 많이 있으나, 여기서 단순히 감정에 호소하여 사건을 해결하는 것은 불가능 하다는 것을 반드시 인지하시고 전문 변호인의 도움을 받는 것이 중요합니다.
대출받는 과정 중 사기 사건에 휘말려버린 사례
제가 직접 수행한 사건 가운데 "전자금융거래법위반" 으로 조사를 받은 분들이 많은데, 대부분이 대출을 받기 위해 업체를 알아보고 대출 승인 과정에서 계좌가 노출되면서 해당 계좌가 보이스피싱 사기에 이용된 것이었습니다.
계좌가 갑자기 거래정지된 저희 의뢰인은, 어떤 상황인지 전혀 파악하기 어려웠고 경찰의 연락을 받고서야 본인 계좌가 사기 범죄에 사용되었다는 사실을 인지하게 된 것이었습니다.

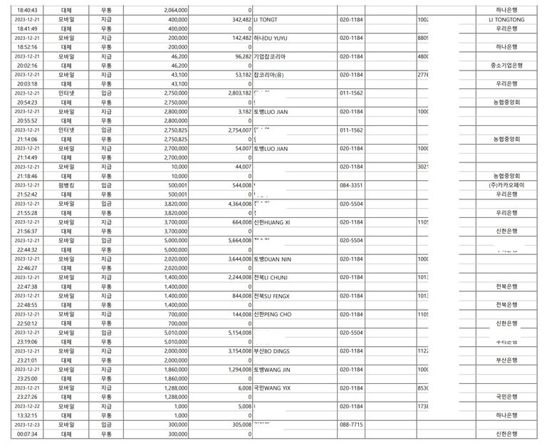
위의 표가 보이스피싱에 이용된 계좌거래내역의 실제 모습입니다.
시간을 보시면 몇초, 몇분 단위로 계속해서 돈이 입금되고 있으며, 외국인 명의 계좌로 또 다시 출금이 이루어졌습니다. 이렇게 본인도 모르는 사이, 수백 수천 수억의 출입금 내역이 광범위하게 남아있는 있었기에 의뢰인의 상황은 절대적으로 불리했습니다.
특히 다른 금융권에서는 대부분 대출승인 거절이 있던 차에, 높은 금액을 대출해준다는 말만 믿고
범인들에게 제공한 은행계좌, 계좌비밀번호, 인증번호 때문에 미필적 고의가 인정이 될 가능성이 매우 높았습니다.
미필적 고의란 본인의 계좌가 불법적인 일에 사용되고 있다는 것을 확실하게 알지 못했더라도 범죄에 연루 되었을 가능성을 인지만 했다면 범죄로 성립돼 처벌의 대상이 될 수 있습니다.
기소유예로 사건을 마무리할 수 있었던 체계적 전략
의뢰인의 상황이 좋지 않았음에도 불구하고 사건을 재판으로 넘어가지 않고 무사히 기소유예로 마무리 짓기 위해
1. 의뢰인은 범행에 사용된 계좌와 연결된 접근매체(체크카드, OTP 등)를 타에 양도하거나 대여하지 않았던 점,
2. 대출 사기를 당한 피해자에 불과하며 이 과정에서 원치 않게 계좌가 노출된 것이라는 점을 조목조목 밝힌 의견서를 작성하여 제출하였습니다.
그 결과 검찰은 불기소처분 중 하나인 '기소유예' 처분을 내렸습니다.
위 기소유예처분은 대출을 받게 해준다는 성명불상자의 말을 듣고 계좌를 제공한 점, 의뢰인이 실제 취득한 경제적 이득은 없다는 점 등이 모두 정상 참작된 것입니다.
의뢰인께서는 꼼짝없이 재판까지 갈 줄 알았는데 무사히 기소유예가 나왔다며 매우 기뻐하셨고, 저도 큰 안도를 느꼈습니다.
사건을 가장 정확하고 빠르게 해결하고 싶다면
아무리 같은 보이스피싱 사건이라고 해도 저마다 처한 상황은 제각각일 수 밖에 없기에 그에 따른 변론전략도 달라질 수밖에 없다는 점을 반드시 유의하시는 것이 좋습니다.
인생에서 가장 어려운 시기를 빠르고 정확하게 해결하기 위해서는 본 사건을 제대로 이해하여 어떠한 흐름으로 수사와 재판이 진행되는지 빠르게 파악하여 적절한 조력을 아끼지 않는 제대로된 변호인과 함께 하시기를 바랍니다.
<법무법인 승앤파트너스 변호사 이지연>
로톡의 모든 콘텐츠는 저작권법의 보호를 받습니다.
콘텐츠 내용에 대한 무단 복제 및 전재를 금지하며, 위반 시 민형사상 책임을 질 수 있습니다.
